Лента новостей
Политика
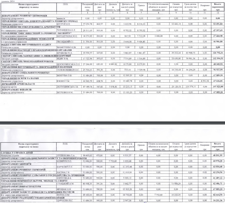
Очільники підрозділів Херсонської ОВА у травні заробили більше 1,5 мільйона гривень
Очільники підрозділів Херсонської ОВА у травні заробили більше 1,5 мільйона гривень
Начальник управління з питань децентралізації та розвитку громад Олег Бутрей отримав 53 тисячі 491 гривню та 84 копійки. В. о. начальника управління містобудування та архітектури Наталі Чернишевій заплатили 47 тисяч 397 гривень та 69 копійок.
Виконуючій обов’язки начальника офісу інвестицій та розвитку експорту Марії Богодуховій виплатили 27 тисяч 460 гривень та 98 копійок. В. о. начальника управління інформаційних технологій Євген Пісоцький заробив 46 тисяч 906 гривень та 88 копійок.
Начальник управління взаємодії з правоохоронними органами Юрій Кравець отримав 126 тисяч 792 гривні та 31 копійку. Завідувачу сектору з питань запобігання та виявлення корупції Вадиму Яцику заплатили 112 тисяч 394 гривні та 53 копійки.
Завідувачці сектору з питань мобілізаційної роботи О. Доскочинській виплатили 48 тисяч 345 гривень та 93 копійки. Начальник управління внутрішньої та інформаційної політики Олександр Толоконніков заробив 96 тисяч 927 гривень та 99 копійок.
Директорка департаменту соціального розвитку Олена Міхєєва отримала 67 тисяч 889 гривень та 20 копійок. Начальниці управління освіти та науки Тетяні Юшко заплатили 67 тисяч 626 гривень та 1 копійку.
Директорці державного архіву Ірині Лопушинській виплатили 197 тисяч 523 гривні та 80 копійок.
Директорка департаменту фінансів Наталія Вітренко заробила 67 тисяч 889 гривень та 20 копійок. Директор департаменту інфраструктури Олег Ярошак отримав ту ж суму.
Начальниці служби у справах дітей Тетяні Лушніковій заплатили 48 тисяч 591 гривню та 99 копійок. Директору департаменту з питань цивільного захисту та оборонної роботи Павлу Козирєву виплатили 60 тисяч 970 гривень та 28 копійок.
Директорка департаменту здоров’я Тетяна Карчевич заробила 63 тисячі 554 гривні та 48 копійок. Директорка департаменту розвитку територій Світлана Васіна отримала 63 тисячі 194 гривні та 94 копійки.
Директору департаменту розвитку сільського господарства та зрошення Дмитру Юнусову заплатили 61 тисячу 487 гривень та 12 копійок. Начальнику управління фізичної культури, молоді та спорту Анатолію Стоцькому виплатили 62 тисячі 486 гривень та 71 копійку.
Виконуюча обов’язки директора департаменту захисту довкілля та природніх ресурсів Ольга Філіна заробила 82 тисячі 614 гривень та 95 копійок. А директорка департаменту реалізації гуманітарної політики Віолетта Царькова отримала 54 тисячі 251 гривню та 36 копійок.

Популярные статьи сейчас
Смотреть все
Ігор Колихаєв: Не забувайте про Херсон. Нам зараз дуже складно
Стан укриттів у Херсоні визнано ганебним
Польща, Чехія і Словенія висунули план порятунку України з 10 пунктів
В Херсоне с вертолетов обстреливают Антоновский мост, - СМИ
«Можу повернутися і надати пояснення»: Власник 4 каналу пояснив, чому перебуває на захопленій частині Херсонщини
«Від несправедливості хочеться кричати». Після полону військовий медик Юрій Армаш не може добитись належних йому виплат
Читайте также:
Читают
/
Обсуждают
На Херсонщині попрощалися з двома загиблими військовими— Володимиром Главацьким та Євгеном Німічем
На Херсонщині провели в останню путь двох військовослужбовців — Володимира Главацького та Євгеном Німіча.
Про це повідомили у Херсонській ОВА.
Молодший сержант Володимир Главацький загинув біля...
ЗСУ відбили атаку окупантів біля Антонівського мосту, — Генштаб
На Придніпровському напрямку російські війська вчергове намагалися атакувати позиції ЗСУ.Про це повідомляє пресслужба Генштабу ЗСУ.Зазначається, що окупанти атакували в районі Антонівського мосту, про...
Переселенці з Херсона намагались «кинути» росіян на 13 мільйонів рублів завдяки махінаціям з «житловими сертифікатами»
Суд у російському Новгороді виніс вирок у справі групи переселенців з Херсона, які займались шахрайством з так званими «житловими сертифікатами». У грудні 2022 року кілька херсонців у змові з місцевим...
По каким критериям составляется рейтинг казино в Украине
Сегодня, когда доступны сотни сайтов интернет-казино, сделать осознанный выбор может быть непросто. В такой ситуации лучший вариант — это рейтинг казино в Украине, который предоставляют структур...
Замість 12,1% - лише 2,4%: чому мільйонам пенсіонерів занизять індексацію у 2026 році
Кабінет Міністрів України затвердив індексацію пенсій у 2026 році з коефіцієнтом 1,121, що відповідає збільшенню на 12,1%. Однак повне підвищення отримають лише ті, хто вийшов на пенсію до 2020 року....
Добори на посади державної служби на період дії воєнного стану
Добори на посади державної служби на період дії воєнного стану
https://khrs.dasu.gov.ua/ua/news/156
На період дії воєнного стану в Управлінні Південного офісу Держаудитслужби в Херсонській о...
Суд в Одесі виніс вирок херсонському перевізнику за роботу під час окупації
Хаджибейський районний суд Одеси виніс вирок херсонському перевізнику Ігорю Одарченку, який під час окупації правобережжя Херсонщини катерами возив людей на лівобережжя.
Про це йдеться у відповідно...
Окупанти провели дві наступальні дії на Придністровському напрямку
На Придніпровському напрямку противник здійснив дві штурмові дії – в бік Антонівського мосту та острова Білогрудий.
Про це повідомляє Генштаб ЗСУ.
Загалом протягом минулої доби зафіксовано 158 б...