Лента новостей
Общество
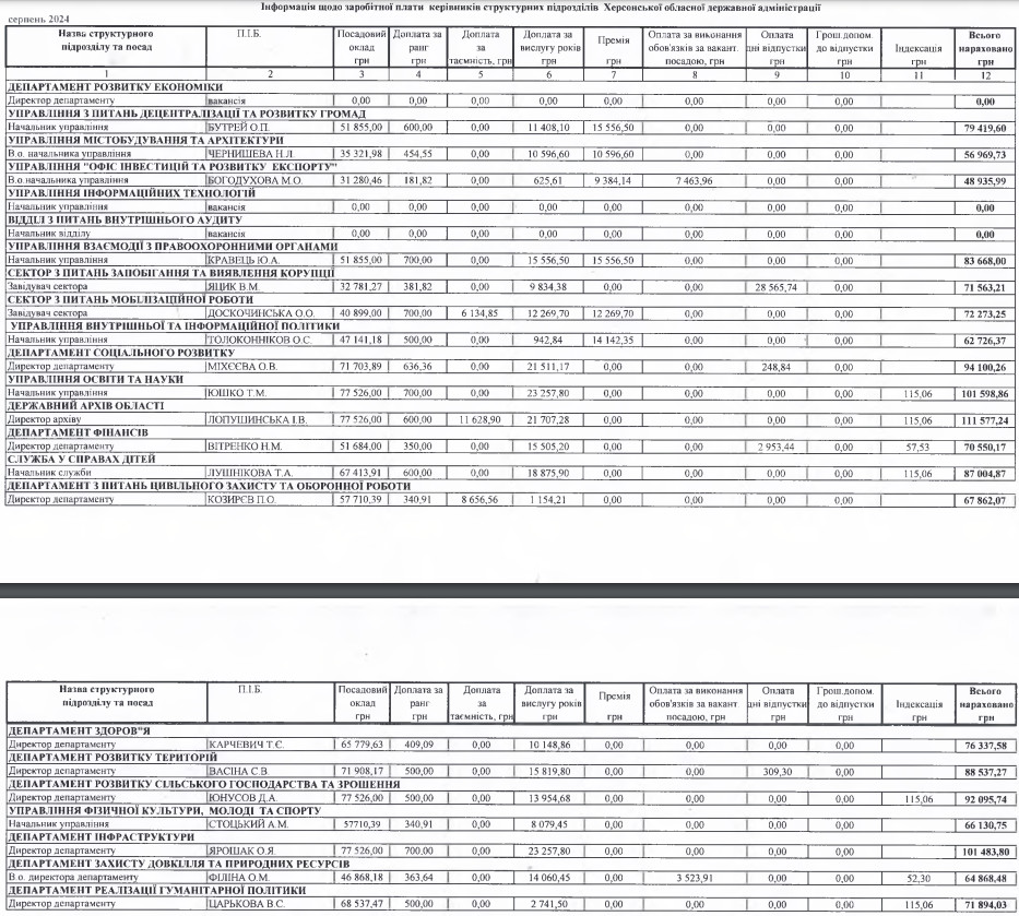
Керівники підрозділів Херсонської ОВА за серпень заробили більше 1,5 мільйона гривень
Керівники підрозділів Херсонської ОВА за серпень заробили більше 1,5 мільйона гривень
Про це свідчить відповідь обласної військової адміністрації на інформаційний запит видання Мост.
Начальник управління з питань децентралізації та розвитку громад Олег Бутрей отримав 79 тисяч 419 гривень і 60 копійок. В. о. начальника управління містобудування та архітектури Наталі Чернишевій заплатили 56 тисяч 969 гривень та 73 копійки.
Виконуючій обов’язки начальника офісу інвестицій та розвитку експорту Марії Богодуховій виплатили 48 тисяч 935 гривень і 99 копійок. Начальник управління взаємодії з правоохоронними органами Юрій Кравець заробив 83 тисячі 668 гривень.
Завідувач сектору з питань запобігання та виявлення корупції Вадим Яцик отримав 71 тисячу 563 гривні та 21 копійку.
Завідувачці сектору з питань мобілізаційної роботи Олені Доскочинській заплатили 72 тисячі 273 гривні та 25 копійок. Начальнику управління внутрішньої та інформаційної політики Олександру Толоконнікову виплатили 62 тисячі 726 гривень і 37 копійок.
Директорка департаменту соціального розвитку Олена Міхєєва заробила 94 тисячі 100 гривень та 26 копійок. Начальниця управління освіти та науки Тетяна Юшко отримала 101 тисячу 598 гривень і 86 копійок.
Директорці державного архіву Ірині Лопушинській заплатили 111 тисяч 577 гривень та 24 копійки. Директорці департаменту фінансів Наталії Вітренко виплатили 70 тисяч 550 гривень і 17 копійок.
Начальниця служби у справах дітей Тетяна Лушнікова заробила 87 тисяч 4 гривні та 87 копійок. Директор департаменту з питань цивільного захисту та оборонної роботи Павло Козирєв отримав 67 тисяч 862 гривні та 7 копійок.
Директорці департаменту здоров’я Тетяні Карчевич заплатили 76 тисяч 337 гривень і 58 копійок. Директорці департаменту розвитку територій Світлані Васіній виплатили 88 тисяч 537 гривень та 27 копійок.
Директор департаменту розвитку сільського господарства та зрошення Дмитро Юнусов заробив 92 тисячі 95 гривень і 74 копійки. Начальник управління фізичної культури, молоді та спорту Анатолій Стоцький отримав 66 тисяч 130 гривень та 75 копійок.
Директору департаменту інфраструктури Олегу Ярошаку заплатили 101 тисячу 483 гривні та 80 копійок.
В. о. директора департаменту захисту довкілля та природніх ресурсів Ользі Філіній виплатили 64 тисячі 868 гривень і 48 копійок. А директорка департаменту реалізації гуманітарної політики Віолетта Царькова заробила 71 тисячу 894 гривні та 3 копійки.

Популярные статьи сейчас
Смотреть все
В Херсоне на Острове наркоман зарезал пожилую херсонку и выбросился с 8-го этажа
На межі Миколаївщини та Херсонщини росіяни кидають техніку
У Херсоні чутно вибухи – ЗМІ
ШАНОВНІ ЖИТЕЛІ ХЕРСОНЩИНИ!
Арестович заявив, що на Херсонщині вночі було знищено значну кількість техніки противника
В Станіславі поховали українських воїнів, котрі загинули в боях за Херсонщину
Читайте также:
Читают
/
Обсуждают
На Херсонщині попрощалися з двома загиблими військовими— Володимиром Главацьким та Євгеном Німічем
На Херсонщині провели в останню путь двох військовослужбовців — Володимира Главацького та Євгеном Німіча.
Про це повідомили у Херсонській ОВА.
Молодший сержант Володимир Главацький загинув біля...
Херсонський театр і громадський сектор об’єдналися: підписано меморандум про співпрацю
У непростий для регіону час Херсонщина продовжує демонструвати приклади єдності та розвитку. Херсонський осередок ГО «Захист Держави» підписав меморандум про співпрацю з Хер...
Дія Сіті не звільняє бізнес від контролю трансфертного ціноутворення
Головне управління ДПС у Херсонській області, Автономній Республіці Крим та м. Севастополі звертає увагу суб’єктів господарювання, що запровадження спеціальних правових режимів Дефенс Сіті та Ді...
Продаж успадкованої землі понад норму: які податки платити?
Головне управління ДПС у Херсонській області, Автономній Республіці Крим та м. Севастополі звертає увагу громадян на порядок оподаткування доходу, отриманого від першого продажу земельної ділянки, яка...
Добори на посади державної служби на період дії воєнного стану
Добори на посади державної служби на період дії воєнного стану
https://khrs.dasu.gov.ua/ua/news/156
На період дії воєнного стану в Управлінні Південного офісу Держаудитслужби в Херсонській о...
Суд в Одесі виніс вирок херсонському перевізнику за роботу під час окупації
Хаджибейський районний суд Одеси виніс вирок херсонському перевізнику Ігорю Одарченку, який під час окупації правобережжя Херсонщини катерами возив людей на лівобережжя.
Про це йдеться у відповідно...
Окупанти провели дві наступальні дії на Придніпровському напрямку
На Придніпровському напрямку противник здійснив дві штурмові дії – в бік Антонівського мосту та острова Білогрудий.
Про це повідомляє Генштаб ЗСУ.
Загалом протягом минулої доби зафіксовано 158...
Війська РФ вкотре намагались просунутись в бік Антонівського мосту
Минулої доби російські військові на Придніпровському напрямку здійснив дві штурмові дії в бік Антонівського мосту.
Про це повідомив Генеральний штаб ЗСУ.
Також зазначається, що загалом вчора втр...